理科|别让理科男养猫,你永远不知道他会拿你的猫去计算些什么东西
你们不知道:我们这的工作人员可谓是人才济济!
就在今年夏天小编被一只流浪猫咪精准碰瓷了。回到收容所就开玩笑问收容所科普的小哥哥:“从数学角度讲,你说人究竟有多大概率捡到一只猫呢?”小哥哥笑笑没说话,小编以为事情就这么过去了开始照顾碰瓷的主子并且寻找领养……
但是小编做梦也没想到,自己随口给小哥提出的莫名其妙的问题,就在第二天就得到了小哥的答复。现在的问题是:这个答复小编根本看不懂!
接下来的答案有@哈喽领养吗亲 原创编辑,根据小哥给我的手稿改写。如果有表达不到位的地方,纯属是小编的问题。像小编这样的文科生请退后,误伤不怪我啊!(我已经尽力让他讲的清楚明白一点了)。

文章图片
用数学思想去计算“一个人有多大概率捡到一只猫”,第一步是要将这个问题转成数学语言。因为现实中不确定性太多,为了避免加入过多复杂的参数,我们这样规定:
现定:若1只猫进入到人的1米范围内,即称这个人捡到这只猫。
现有如下情景:有一个时刻,1只猫来到了你的方圆100米处。这只猫在进行速度为0.1m/s且方向完全随机无序的运动(仅考虑二维情况,忽略障碍物的影响)。
试问:这个人最有可能在什么时间内捡到这只猫?这个事件发生的综合概率是多少?

文章图片
转化成数学语言后,视猫为点A,依照二维无边界随机游走进行数学建模,将人视为r=1的单位圆。问题转化为:点A什么时候有最大概率游走到单位圆范围。

文章图片
好的问题已经转化成了数学语言,那么接下来看一看如何计算。
小哥的计算步骤如下:
①视猫咪为点A,速度v已知,利用三角形法则进行矢量运算,可以求得点A运动过后距离其初始位置的距离关系为:

文章图片
此时小编的表情如下:

文章图片
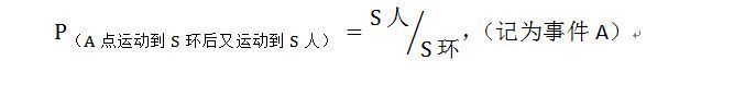
【 理科|别让理科男养猫,你永远不知道他会拿你的猫去计算些什么东西】步骤①可以解答题中的第一问:最有可能在什么时候捡到这只猫咪。R=100,r=1,即当点A运动时间满足以下关系时,其落点的概率密集处应为图(1)中圆环面积(记为S环),则事件【猫咪运动到S环时恰好处在人1米范围内】的概率应是一个面积比,即

文章图片

文章图片
此时如果能算时间t内,点A游走到S环的概率,即可求出综合概率。所以
将事件B定义为:

文章图片
接下来的工作,小哥哥开始求P(B)。
而这只是刚刚结束了这个问题中,最简单的一问。

文章图片
②概率P(B)的计算方法。
小哥哥不确定概率P(B)是否符合正态分布。于是给出了两种计算思路……
通过简单证明可以证明点A平面内位移变量分别服从如下分布:

文章图片
但无法证明点A运动到S环的概率分布也符合正态分布,或者说在不规定时间上限的情况下无法确认。若如果点A运动到S环的概率满足正态分布:

文章图片
那么时间B发生概率最高值可以根据参考公式进行求解。

文章图片
若符合正态分布,那么计算时间t范围内f(t)的积分即可通过查表求出:

文章图片
最后套用正态分布概率密度方程,两个问题就都迎刃而解了(小编:?!!)。小哥哥补充:
如果仔细严格推导,这个最终表达式应该是一个非常繁琐又难以理解的重积分表达式(他也没法推导了,感觉超出了自己的知识范围),但结果应该是正确的。
第二种解题思路,是小哥哥通过和其他同学老师们的讨论如果概率一旦证实不符合正态分布,不能借助正态分布概率密度方程,那这个问题就要重新通过“粒子扩散方程”进行建模。对此科普小哥也表示……

文章图片
最后小哥哥补充说:这个问题看起来很无聊但是却很有意思。如果有人愿意攻克的话,实用性虽然不大,但是能解决一些日常中好玩的事情。
比如广袤的草原上牧民丢失了一只羊,丢失多久之后应该去哪里寻找之类的。
但理论和现实有时候就是这样,现实中的变动很多都是难以量化的,这就是为啥大家总说“看脸”“玄学”这几个词了。如果完全考虑现实中的变量,你捡到这只猫的概率不仅要把模糊数学的理念加进来……甚至还得套用一个误差方程!即使有相关参数,这个计算量到现在为止应该没人愿意做。

文章图片
其实最后小哥说:这个问题其实追根究底,是上世纪就开始研究的“二维无边界随机游走”问题,这个问题早在上世纪中叶就开始困扰数学家,即便是现在也在数学界没有定论,所以他根本就不可能计算出来。但是作为科普人的小哥说:
每个优秀的科普人,有一个最大的特点就是:较真。进步和真相,往往都是在科学家的较真下而研究发明出来的。虽然这个问题并不能提供确定的答案,但至少让小编看到了在科普的道路上:我们是“较真”的。

文章图片
- 告诉|这种白酒千万不要买,白送都不要,买了也别喝,赶紧告诉家里人
- 步骤|冬天炸丸子别总是用萝卜,试试这个菜,香酥鲜美,比吃肉还解馋
- 炒菜|猪油可以炒菜吃吗?对人体健康到底有没有影响?答案让人很意外
- 后加上|冬天,少吃鸡肉鸭肉,也别错过此菜,美味下饭,不懂太可惜了!
- 错过|上桌妙光的馅饼(简单易学),这个冬日别再错过啦
- 发酵|别忘了馒头只记得酵母,再加2种配料,白胖暄软清香,方便食用
- 尴尬|饭局上,如果看到这种菜,女人可以少吃,但别多问,否则很尴尬!
- 区别|看看蜜蜂是怎么死的,你就会明白枣花蜜与槐花蜜的区别
- 男人|酒桌上被问:酒都不喝,你算什么男人?牢记两句天规让你反败为胜
- 面饼|2分钟学会葱花小油饼的做法,外酥里软可好吃了,面饼也特别的薄
